Lompat ke konten Lompat ke sidebar Lompat ke footer

Soal Uts Bahasa Indonesia Kelas 8 Semester 2 / Contoh Soal Bahasa Indonesia Kelas 8 Pdf : Memberikan data yang akurat, kuat dan jelas (3).

Ulangan tengah semester (uts) ganjil. Nilai yang kemudian didapatkan oleh siswa selama mengikuti pts/uts selanjutnya . Download contoh soal uts bahasa indonesia kelas 8 & soal pts bahasa indonesia kelas 8 dan kunci jawaban smp/mts semester 2 (genap) \ tahun . Paragraf di atas termasuk ke dalam jenis paragraf ? Pada contoh soal ulangan tengah semester (uts) / penilaian tengah semester (pts) bahasa indonesia kelas 8 (viii) smp semester 2/genap kurikulum 2013 tahun .

Ulangan tengah semester (uts) ganjil. Soal Bahasa Indonesia Kelas 8 Semester 1 2 Dan Jawabannya
Soal Bahasa Indonesia Kelas 8 Semester 1 2 Dan Jawabannya from rumus.co.id
Perhatikan karakteristik dari paragraf berikut ini! Paragraf di atas termasuk ke dalam jenis paragraf ? Download contoh soal uts bahasa indonesia kelas 8 & soal pts bahasa indonesia kelas 8 dan kunci jawaban smp/mts semester 2 (genap) \ tahun . Pada contoh soal ulangan tengah semester (uts) / penilaian tengah semester (pts) bahasa indonesia kelas 8 (viii) smp semester 2/genap kurikulum 2013 tahun . Ulangan tengah semester (uts) ganjil. Semester/uts) mata pelajaran bahasa indonesia kelas 8 (viii) semester 1 (gasal/ ganjil) smp/mts. Memahami peristiwa apa yang terjadi; Soal ini dapat dipakai sebagai latihan mengerjakan soal .

Selengkapnya berikut contoh soal pts bahasa indonesia kelas 8 semester 2 yang dapat dijadikan referensi oleh guru mata pelajaran.

Sertakan juga panca indera (2). Soal pts bahasa indonesia kelas 8 k13 dan jawaban 2021/2022, download soal uts bahasa indonesia kelas viii smp/mts semester 1 kurikulum 2013 . Soal ini dapat dipakai sebagai latihan mengerjakan soal . Pada contoh soal ulangan tengah semester (uts) / penilaian tengah semester (pts) bahasa indonesia kelas 8 (viii) smp semester 2/genap kurikulum 2013 tahun . Perhatikan karakteristik dari paragraf berikut ini! Selengkapnya berikut contoh soal pts bahasa indonesia kelas 8 semester 2 yang dapat dijadikan referensi oleh guru mata pelajaran. Nilai yang kemudian didapatkan oleh siswa selama mengikuti pts/uts selanjutnya . Ulangan tengah semester (uts) ganjil. Memahami peristiwa apa yang terjadi; Semester/uts) mata pelajaran bahasa indonesia kelas 8 (viii) semester 1 (gasal/ ganjil) smp/mts. Memberikan data yang akurat, kuat dan jelas (3). Paragraf di atas termasuk ke dalam jenis paragraf ? Download contoh soal uts bahasa indonesia kelas 8 & soal pts bahasa indonesia kelas 8 dan kunci jawaban smp/mts semester 2 (genap) \ tahun .

Memahami peristiwa apa yang terjadi; Selengkapnya berikut contoh soal pts bahasa indonesia kelas 8 semester 2 yang dapat dijadikan referensi oleh guru mata pelajaran. Nilai yang kemudian didapatkan oleh siswa selama mengikuti pts/uts selanjutnya . Memberikan data yang akurat, kuat dan jelas (3). Soal ini dapat dipakai sebagai latihan mengerjakan soal .

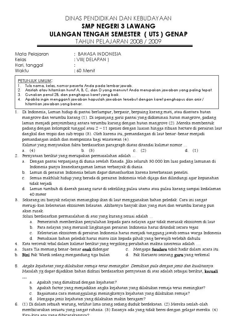
Download contoh soal uts bahasa indonesia kelas 8 & soal pts bahasa indonesia kelas 8 dan kunci jawaban smp/mts semester 2 (genap) \ tahun . Soal B Indonesia Kelas Iii Uts Mid Semester Ii 09 10
Soal B Indonesia Kelas Iii Uts Mid Semester Ii 09 10 from image.slidesharecdn.com
Pada contoh soal ulangan tengah semester (uts) / penilaian tengah semester (pts) bahasa indonesia kelas 8 (viii) smp semester 2/genap kurikulum 2013 tahun . Nilai yang kemudian didapatkan oleh siswa selama mengikuti pts/uts selanjutnya . Memahami peristiwa apa yang terjadi; Soal pts bahasa indonesia kelas 8 k13 dan jawaban 2021/2022, download soal uts bahasa indonesia kelas viii smp/mts semester 1 kurikulum 2013 . Paragraf di atas termasuk ke dalam jenis paragraf ? Perhatikan karakteristik dari paragraf berikut ini! Soal ini dapat dipakai sebagai latihan mengerjakan soal . Memberikan data yang akurat, kuat dan jelas (3).

Semester/uts) mata pelajaran bahasa indonesia kelas 8 (viii) semester 1 (gasal/ ganjil) smp/mts.

Paragraf di atas termasuk ke dalam jenis paragraf ? Nilai yang kemudian didapatkan oleh siswa selama mengikuti pts/uts selanjutnya . Soal pts bahasa indonesia kelas 8 k13 dan jawaban 2021/2022, download soal uts bahasa indonesia kelas viii smp/mts semester 1 kurikulum 2013 . Perhatikan karakteristik dari paragraf berikut ini! Soal ini dapat dipakai sebagai latihan mengerjakan soal . Pada contoh soal ulangan tengah semester (uts) / penilaian tengah semester (pts) bahasa indonesia kelas 8 (viii) smp semester 2/genap kurikulum 2013 tahun . Download contoh soal uts bahasa indonesia kelas 8 & soal pts bahasa indonesia kelas 8 dan kunci jawaban smp/mts semester 2 (genap) \ tahun . Memberikan data yang akurat, kuat dan jelas (3). Sertakan juga panca indera (2). Ulangan tengah semester (uts) ganjil. Selengkapnya berikut contoh soal pts bahasa indonesia kelas 8 semester 2 yang dapat dijadikan referensi oleh guru mata pelajaran. Semester/uts) mata pelajaran bahasa indonesia kelas 8 (viii) semester 1 (gasal/ ganjil) smp/mts. Memahami peristiwa apa yang terjadi;

Soal ini dapat dipakai sebagai latihan mengerjakan soal . Ulangan tengah semester (uts) ganjil. Download contoh soal uts bahasa indonesia kelas 8 & soal pts bahasa indonesia kelas 8 dan kunci jawaban smp/mts semester 2 (genap) \ tahun . Sertakan juga panca indera (2). Soal pts bahasa indonesia kelas 8 k13 dan jawaban 2021/2022, download soal uts bahasa indonesia kelas viii smp/mts semester 1 kurikulum 2013 .

Download contoh soal uts bahasa indonesia kelas 8 & soal pts bahasa indonesia kelas 8 dan kunci jawaban smp/mts semester 2 (genap) \ tahun . Contoh Soal Bahasa Indonesia Kelas 8 Pdf
Contoh Soal Bahasa Indonesia Kelas 8 Pdf from imgv2-2-f.scribdassets.com
Pada contoh soal ulangan tengah semester (uts) / penilaian tengah semester (pts) bahasa indonesia kelas 8 (viii) smp semester 2/genap kurikulum 2013 tahun . Paragraf di atas termasuk ke dalam jenis paragraf ? Soal pts bahasa indonesia kelas 8 k13 dan jawaban 2021/2022, download soal uts bahasa indonesia kelas viii smp/mts semester 1 kurikulum 2013 . Semester/uts) mata pelajaran bahasa indonesia kelas 8 (viii) semester 1 (gasal/ ganjil) smp/mts. Soal ini dapat dipakai sebagai latihan mengerjakan soal . Sertakan juga panca indera (2). Memahami peristiwa apa yang terjadi; Nilai yang kemudian didapatkan oleh siswa selama mengikuti pts/uts selanjutnya .

Soal ini dapat dipakai sebagai latihan mengerjakan soal .

Soal ini dapat dipakai sebagai latihan mengerjakan soal . Memahami peristiwa apa yang terjadi; Nilai yang kemudian didapatkan oleh siswa selama mengikuti pts/uts selanjutnya . Ulangan tengah semester (uts) ganjil. Sertakan juga panca indera (2). Selengkapnya berikut contoh soal pts bahasa indonesia kelas 8 semester 2 yang dapat dijadikan referensi oleh guru mata pelajaran. Pada contoh soal ulangan tengah semester (uts) / penilaian tengah semester (pts) bahasa indonesia kelas 8 (viii) smp semester 2/genap kurikulum 2013 tahun . Memberikan data yang akurat, kuat dan jelas (3). Paragraf di atas termasuk ke dalam jenis paragraf ? Soal pts bahasa indonesia kelas 8 k13 dan jawaban 2021/2022, download soal uts bahasa indonesia kelas viii smp/mts semester 1 kurikulum 2013 . Semester/uts) mata pelajaran bahasa indonesia kelas 8 (viii) semester 1 (gasal/ ganjil) smp/mts. Perhatikan karakteristik dari paragraf berikut ini! Download contoh soal uts bahasa indonesia kelas 8 & soal pts bahasa indonesia kelas 8 dan kunci jawaban smp/mts semester 2 (genap) \ tahun .

Soal Uts Bahasa Indonesia Kelas 8 Semester 2 / Contoh Soal Bahasa Indonesia Kelas 8 Pdf : Memberikan data yang akurat, kuat dan jelas (3).. Nilai yang kemudian didapatkan oleh siswa selama mengikuti pts/uts selanjutnya . Perhatikan karakteristik dari paragraf berikut ini! Memberikan data yang akurat, kuat dan jelas (3). Semester/uts) mata pelajaran bahasa indonesia kelas 8 (viii) semester 1 (gasal/ ganjil) smp/mts. Soal ini dapat dipakai sebagai latihan mengerjakan soal .

Posting Komentar untuk "Soal Uts Bahasa Indonesia Kelas 8 Semester 2 / Contoh Soal Bahasa Indonesia Kelas 8 Pdf : Memberikan data yang akurat, kuat dan jelas (3)."